Kristians Kunskapsbank
Lectures on mathematics and physics
Hoppa till innehåll
Home
About
Fysik 1
Fysik 2
matematik 1c
matematik 2c
matematik 3c
matematik 4
matematik 5
Planeringar Fysik 1&2 and Fysik GrundVux
Planeringar MA1-5 och specialisering
Laborationer
Flipped classroom
Lösningar/solutions
kursplaner o bedömningsmatriser
Matematikkraft i Lund
Exercises
Python programmering
Webbdesign
Kretsteori
Planeringar Grundskola
sgra_.jpg 3 600 × 3 600 pixlar
Matematik 1B
matematik 2b
matematik 3B
matematik 1b
matematik 2b
matematik 3b
AI :s ekosystem
Vad alla bör känna till om AI
AI föreläsning
←
Sommarsolstånd
Härledning av Schrödingerekvationen
→
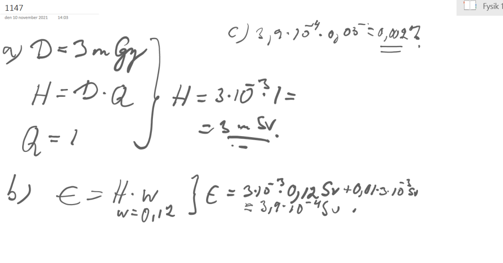
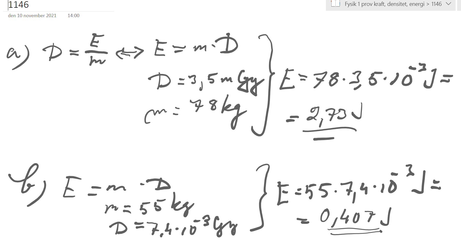
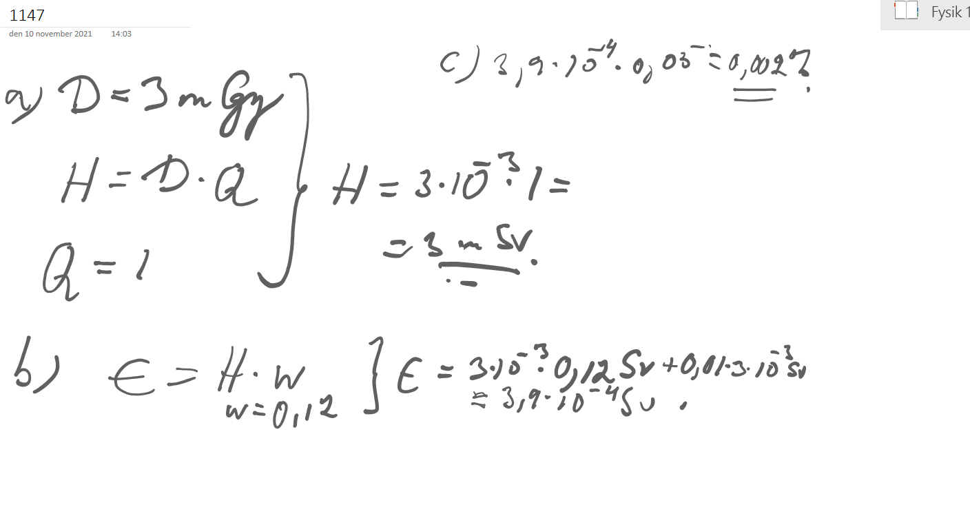
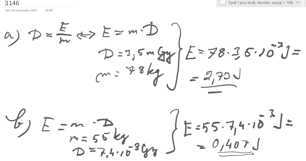
1146 & 1147 i Impuls1 stråldos.
Publicerat den
november 10, 2021
av
mattelararen
Dela detta:
Dela på X (Öppnas i ett nytt fönster)
X
Mer
Dela på Facebook (Öppnas i ett nytt fönster)
Facebook
Gilla
Laddar in …
About mattelararen
Licentiate of Philosophy in atomic Physics Master of Science in Physics
View all posts by mattelararen
→
Detta inlägg publicerades i
Uncategorized
. Bokmärk
permalänken
.
←
Sommarsolstånd
Härledning av Schrödingerekvationen
→
Lämna en kommentar
Avbryt svar
Δ
Sök efter:
Senaste inläggen
Uppgift 2343 om mängdlära med Venndiagram i matematik 5
Mängdlära med Venndiagram i matematik 5. 2343
Uppgifter om Venndiagram
2313 uppgift om delmängder i matematik5.
Mongolinvasionen av Bagdad 1258 – utraderandet av en av historiens mest sofistikerade urbana miljöer
Help WWF save the tiger!
Save the Tiger!
Arkiv
april 2026
mars 2026
februari 2026
januari 2026
december 2025
november 2025
oktober 2025
september 2025
augusti 2025
juli 2025
maj 2025
april 2025
mars 2025
februari 2025
januari 2025
december 2024
november 2024
oktober 2024
september 2024
augusti 2024
juli 2024
juni 2024
maj 2024
april 2024
mars 2024
februari 2024
januari 2024
december 2023
november 2023
oktober 2023
september 2023
augusti 2023
juli 2023
juni 2023
maj 2023
april 2023
mars 2023
februari 2023
januari 2023
december 2022
november 2022
oktober 2022
september 2022
augusti 2022
juli 2022
juni 2022
maj 2022
april 2022
mars 2022
februari 2022
januari 2022
december 2021
november 2021
oktober 2021
september 2021
augusti 2021
juli 2021
juni 2021
maj 2021
april 2021
mars 2021
februari 2021
januari 2021
december 2020
oktober 2020
september 2020
augusti 2020
juli 2020
juni 2020
maj 2020
april 2020
mars 2020
februari 2020
januari 2020
december 2019
november 2019
oktober 2019
september 2019
augusti 2019
juli 2019
juni 2019
maj 2019
april 2019
mars 2019
februari 2019
januari 2019
december 2018
november 2018
oktober 2018
september 2018
augusti 2018
juli 2018
maj 2018
april 2018
mars 2018
februari 2018
januari 2018
december 2017
november 2017
oktober 2017
september 2017
augusti 2017
juli 2017
juni 2017
maj 2017
april 2017
mars 2017
februari 2017
januari 2017
december 2016
november 2016
oktober 2016
september 2016
augusti 2016
juli 2016
juni 2016
maj 2016
april 2016
mars 2016
februari 2016
januari 2016
december 2015
november 2015
oktober 2015
september 2015
augusti 2015
juli 2015
juni 2015
maj 2015
april 2015
mars 2015
februari 2015
januari 2015
december 2014
november 2014
oktober 2014
september 2014
augusti 2014
juli 2014
juni 2014
maj 2014
april 2014
mars 2014
februari 2014
januari 2014
december 2013
november 2013
oktober 2013
september 2013
augusti 2013
juni 2013
maj 2013
april 2013
mars 2013
februari 2013
januari 2013
december 2012
november 2012
oktober 2012
september 2012
augusti 2012
juli 2012
juni 2012
maj 2012
april 2012
mars 2012
februari 2012
Kategorier
Kategorier
Välj kategori
Advanced
AI
Algebra
arkeologi
Astronomy
Biology
Bysans
Byzantinsk historia
Calculus
DataAI
dinosaurs
Ergo 1
Ergo 2
filosofi
Fysik 1
Fysik 2
fysik 3
fysikhistoria
Geogebra
Geometri
Gymnasiefysik(high school physics)
Gymnasiematematik(high school math)
Heureka 1
Heureka 2
historia
Historia, Roms historia
Imaginary numbers
impuls 1
impuls 1
impuls 2
impuls 2
kärnfysik
Kluring
laborationer
Marsupials
matematik 1b
matematik 1B
matematik 1c
matematik 2b
matematik 2B
matematik 2c
matematik 3b
matematik 3c
matematik 4
matematik 5
matematik 6
matematik specialisering
Mathematical physics
Meteorologi
Nordisk historia
Philosophy of Science
pressen
prio 9
probabilitu
Probability
Pythonprogrammering
Rom
statistisk mekanik.
teacher’s stuff
technoöogy
Technology
Thermodynamics
tillämpningar
trisse
Uncategorized
university mathematics
Vectors
zoologi
Astronomy picture of the day
Blogroll
Appar för lärare
Arcademics mattespel.
Bildskärmsinspelningsprogram
Discuss
Ehingers Kemi och Biologsite
Esame Statoi -italiensk studentexamen
fasdiagram
Färdiga stenciler och uppgifter
Filosofi, historielänkar
Frågesport
Fysikboken
Fysiksimuleringar
fysiksimuleringar
Gamla nationella fysik 2 provuppgifter
Gamla nationella fysikprov
gamla nationella prov
Gamla nationella prov 2
Geogebra-bra matematikprogram
Get Inspired
Get Polling
Get Support
Grafritande miniräknare
Harvard matteprov
Hewitt's conceptual physics videor
How to draw Exceldiagrams
Hyperphysics
IKT-skafferiet
Kungliga vetenskapsakademins och NCM s kängurutävling
Länkskafferiet
Lärarinspiration
lärartips
Learn WordPress.com
Lineäralgebra
Matematiska fingerövningar
Miniräknare/calculator
Minute Physics
My garden-blog
My Watercolor-paintings
Numberphile
Periodic table
quiz/frågesport/sista lektionen aktiviteter
Science TV
Skolverkets kursplaner i matematik
Technology/Science News
Theme Showcase
theory of relativity
Volfram Alpha
Walter Fendt fysiksimuleringar
WordPress Planet
WordPress.com News
WWF
RSS-links
Technology/Science News
Meta
Skapa konto
Logga in
Flöde för inlägg
Flöde för kommentarer
WordPress.com
Integritet och cookies: Den här webbplatsen använder cookies. Genom att fortsätta använda den här webbplatsen godkänner du deras användning.
Om du vill veta mer, inklusive hur du kontrollerar cookies, se:
Cookie-policy
Kommentar
Reblogga
Prenumerera
Prenumererad
Kristians Kunskapsbank
Registrera mig
Har du redan ett WordPress.com-konto?
Logga in nu.
Kristians Kunskapsbank
Prenumerera
Prenumererad
Registrera
Logga in
Kopiera kortlänk
Rapportera detta innehåll
Visa inlägg i Läsare
Hantera prenumerationer
Minimera detta fält
Laddar in kommentarer …
Skriv en kommentar …
E-post (Obligatorisk)
Namn (Obligatorisk)
Webbplats
%d